Noticias » Miscelaneas
SENASA prohibió el Endosulfán
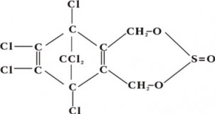
El SENASA prohibió la importación de Endosulfán, al tomar recomendaciones internacionales y de una comisión local que estudió sus efectos, que propenden la suspensión progresiva del su uso para el control de las plagas en los cultivos. La resolución fue publicada hoy en el Boletín Oficial. El Servicio Nacional de Sanidad y Calidad Agroalimentaria y Calidad Agroalimentaria (SENASA) prohibió la importación del principio activo Endosulfán y sus productos formulados, a partir del 1 de julio de 2012 y la elaboración, formulación, comercialización y uso de los productos que contengan ese principio activo a partir del 1 de julio de 2013
" Es mejor morir por una idea que vale la pena vivir, que vivir por una idea que no vale la pena morir"
Esteve Biko.(1)
Esteve Biko.(1)
Domingo 7 de agosto de 2011
El SENASA prohibió la importación de Endosulfán, al tomar recomendaciones internacionales y de una comisión local que estudió sus efectos, que propenden la suspensión progresiva del su uso para el control de las plagas en los cultivos. La resolución fue publicada hoy en el Boletín Oficial.
El Servicio Nacional de Sanidad y Calidad Agroalimentaria y Calidad Agroalimentaria (SENASA) prohibió la importación del principio activo Endosulfán y sus productos formulados, a partir del 1 de julio de 2012 y la elaboración, formulación, comercialización y uso de los productos que contengan ese principio activo a partir del 1 de julio de 2013.
A partir de esta fecha se producirá la baja automática de dichos productos en el Registro Nacional de Terapéutica Vegetal que lleva la Dirección Nacional de Agroquímicos, Productos Veterinarios y Alimentos del SENASA.
La Resolución 511/2011, publicada el 5 de agosto en el Boletín Oficial, con la firma del titular del SENASA Jorge E. Amaya expresa que las empresas que tengan inscripto el principio activo Endosulfán y/o sus productos formulados en el Registro Nacional de Terapéutica Vegetal podrán solicitar voluntariamente su archivo con anterioridad al plazo establecido.
La consulta pública para el proyecto de resolución estuvo abierta durante 60 días desde el miércoles 20 de abril de 2011 hasta el martes 21 de junio de 2011 en el sitio del SENASA
Por otra parte se propuso la inclusión del insecticida ENDOSULFÁN en el Convenio de Estocolmo en una audiencia convocada por Rapal, la Red de Acción de Plaguicidas y sus Alternativas en América Latina y la diputada Cecilia Merchán de Libres del Sur se realizó el 29 de marzo pasado en la Sala del 2do piso, Edificio Anexo del Honorable Cámara de Diputados de la Nación. Asimismo el Defensor del Pueblo de la Nación recomendó a la Secretaría de Agricultura, Ganadería y Pesca de la Nación, que prohíba de inmediato el uso del Endosulfán en las actividades agrícolas mediante Resolución DPN Nº 101/11
La Quinta Conferencia de las Partes del Convenio de Estocolmo sobre Contaminantes Orgánicos Persistentes se reunió, entre el 25 y 29 de abril pasado, en Ginebra, Suiza y aprobó la incorporación del endosulfan a su Anexo A, donde la delegación argentina tuvo una activa participación en el Grupo de Contacto .
En los considerandos menciona acuerdos internacionales y señala que, a nivel local, por Decreto Nº 21 del 16 de enero de 2009 fue creada la Comisión Nacional de Investigación, Prevención, Asistencia y Tratamiento en casos de intoxicación o que afecten, de algún modo, la salud de la población y el ambiente, con productos agroquímicos en todo el Territorio Nacional.
Agrega que a dicha Comisión Nacional se recomendó priorizar la evaluación del Principio Activo Endosulfán y sus productos formulados. A raíz del resultado resulta conveniente -dice- propender a la supresión progresiva del uso del Principio Activo Endosulfán y sus productos formulados.
Señala que teniendo en cuenta que no existe producción nacional del principio activo Endosulfan ni plantas habilitadas para producir dicho principio activo, la supresión progresiva del uso del Endosulfán en la Argentina se implementará exclusivamente a través de una reducción gradual en la importación de dicho principio activo y sus productos formulados.
Agrega que para el período comprendido entre la entrada en vigencia de la presente resolución y la fecha de la prohibición de importación establecida se establece el siguiente Cronograma de Eliminación Progresiva del Principio Activo Endosulfán y sus productos formulados:
a) Segundo semestre de 2011: El volumen de importación de principio activo y producto formulado (para cada empresa) no podrá superar el promedio de los segundos semestres de los últimos cinco años respecto de los volúmenes establecidos en el período de base en cada caso.
b) Primer semestre de 2012: El volumen de importación de principio activo y producto formulado (para cada empresa) no podrá superar el 50% el promedio anual de los últimos cinco años respecto de los volúmenes establecidos en el período de base en cada caso.
Se tomará como período de base, el promedio de los volúmenes de principio activo Endosulfán y productos formulados en base a éste, importados durante los últimos cinco años. Período del 1º de enero de 2006 al 31 de diciembre de 2010.
Las empresas que, al 31 de diciembre de 2012, tengan inscripto el Principio Activo Endosulfan y/o sus productos formulados en el Registro Nacional de Terapéutica Vegetal, deberán presentar, entre el 15 y el 31 de diciembre de ese año, una Declaración Jurada de las existencias remanentes, tanto del Principio Activo Endosulfán como de sus productos formulados a la Dirección Nacional de Agroquímicos, Productos Veterinarios y Alimentos del SENASA, la que establecerá las pautas y requisitos para la utilización de esas existencias.
Las empresas a las que, al 1 de julio de 2013, les hubiera quedado un remanente de las existencias declaradas en los términos establecidos en el Artículo 6º de la presente resolución, deberán informarlo a la Dirección Nacional de Agroquímicos, Productos Veterinarios y Alimentos del SENASA, la que solamente autorizará su reexportación o destrucción.
Se prohíbe el registro de nuevos productos, principios activos y productos formulados en base al Principio Activo Endosulfán en el Registro Nacional de Terapéutica Vegetal a partir de la entrada en vigencia de la resolución.
Se faculta a la Dirección Nacional de Agroquímicos, Productos Veterinarios y Alimentos del SENASA a establecer los procedimientos necesarios para autorizar excepcionalmente, y cuando así lo considere conveniente, el uso de productos sustitutos del Principio Activo Endosulfán, para el control de las plagas y en los cultivos que así lo ameriten.
Esteve Biko fué un activista anti apartheid- El 12 de Sept. de 1977 fué asesinado en un retén policial en Puerto Elizabeth (Pretoria) Los dirigentes de Sudáfrica intentaron ocultarlo aludiendo a una huelga de hambre.
De esta manera se convierte en un símbolo del movimiento negro y pòr la igualdad de derechos más alla de las diferencias de raza o de cualquier índole.
A quienes gusten de la buena música, les recomiendo escuchen a Peter Gabriel en una canción llamada \"BIKO\" también grabada por Joan Baez y Paul Simón.
Además el director Richar Attenborough, filmó una película llamada \"CRY FREEDON\" que es biografía de la vida y muerte de Biko. Todo muy recomendable para cultivar el espíritu y acrecentar la sapiencia
Otros comentarios
El Blog de Fatouh
+ VERDE periódico ecológico
Una Mirada Verde
RINCOLOMBRIZ
Radio Centro Bovril 106.7 Mhz
Fecha de publicación: 13/08/2011 | 147 lecturas
Comentar


